- Published on
【读厚 CSAPP】II Bomb Lab
想体验拆弹部队的千钧一发吗?想当一回柯南来一次『真相只有一个』吗?那么这个实验绝对能给你非同寻常的感受:原来作业可以这么有趣!
系列文章
读薄部分
- 零 系列概览
- 壹 数据表示 - 不同的数据是如何存储与表示的
- 贰 机器指令与程序优化 - 控制流、过程调用、缓冲区溢出
- 叁 内存与缓存 - 内存层级与缓存机制
- 肆 链接 - 不同的代码如何协同
- 伍 异常控制流 - 不同进程间的切换与沟通
- 陆 系统输入输出 - 怎么把不同的内容发送到不同的地方
- 柒 虚拟内存与动态内存分配 - 现代计算机中内存的奥秘
- 捌 网络编程 - 从最原始套接字彻底理解网络编程
- 玖 并行与同步 - 协同工作中最重要的两个问题
读厚部分
- 实验概览
- I Data Lab - 位操作,数据表示
- II Bomb Lab - 汇编,栈帧与 gdb
- III Attack Lab - 漏洞是如何被攻击的
- IV Cache Lab - 实现一个缓存系统来加速计算
- V Shell Lab - 实现一个 shell
- VI Malloc Lab - 实现一个动态内存分配
- VII Proxy Lab - 实现一个多线程带缓存的代理服务器
任务目标
这次的任务很『简单』,一共有七关,六个常规关卡和一个隐藏关卡,每次我们需要输入正确的『拆弹密码』才能进入下一关,而具体的『拆弹密码』藏在汇编代码中。进入隐藏关卡的方式也在其中!这就需要我们一点一点探索蛛丝马迹了。
热身
汇编复习
想要完成拆弹任务,不但需要理解不同寄存器的常用方法,也要弄明白具体的操作符是什么意思:
| 类型 | 语法 | 例子 | 备注 |
|---|---|---|---|
| 常量 | 符号$ 开头 | $-42, $0x15213 | 一定要注意十进制还是十六进制 |
| 寄存器 | 符号 % 开头 | %esi, %rax | 可能存的是值或者地址 |
| 内存地址 | 括号括起来 | (%rbx), 0x1c(%rax), 0x4(%rcx, %rdi, 0x1) | 括号实际上是去寻址的意思 |
一些汇编语句与实际命令的转换:
| 指令 | 效果 |
|---|---|
mov %rbx, %rdx | rdx = rbx |
add (%rdx), %r8 | r8 += value at rdx |
mul $3, %r8 | r8 *= 3 |
sub $1, %r8 | r8-- |
lea (%rdx, %rbx, 2), %rdx | rdx = rdx + rbx*2 |
比较与跳转是拆弹的关键,基本所有的字符判断就是通过比较来实现的,比方说 cmp b,a 会计算 a-b 的值,test b, a 会计算 a&b,注意运算符的顺序。例如
cmpl %r9, %r10
jg 8675309
等同于 if %r10 > %r9, jump to 8675309
各种不同的跳转:
| 指令 | 效果 | 指令 | 效果 |
|---|---|---|---|
| jmp | Always jump | ja | Jump if above(unsigned >) |
| je/jz | Jump if eq / zero | jae | Jump if above / equal |
| jne/jnz | Jump if !eq / !zero | jb | Jump if below(unsigned <) |
| jg | Jump if greater | jbe | Jump if below / equal |
| jge | Jump if greater / eq | js | Jump if sign bits is 1(neg) |
| jl | Jump if less | jns | Jump if sign bit is 0 (pos) |
| jle | Jump if less / eq | x | x |
举几个例子
cmp $0x15213, %r12
jge deadbeef
若 %r12 >= 0x15213,则跳转到 0xdeadeef
cmp %rax, %rdi
jae 15213b
如果 %rdi 的无符号值大于等于 %rax,则跳转到 0x15213b
test %r8, %r8
jnz (%rsi)
如果 %r8 & %r8 不为零,那么跳转到 %rsi 存着的地址中。
# 检查符号表
# 然后可以寻找跟 bomb 有关的内容
objdump -t bomb | less
# 反编译
# 搜索 explode_bomb
objdump -d bomb > bomb.txt
# 显示所有字符
strings bomb | less
GDB 介绍
gdb bomb
# 获取帮助
help
# 设置断点
break explode_bomb
break phase_1
# 开始运行
run
# 检查汇编 会给出对应的代码的汇编
disas
# 查看寄存器内容
info registers
# 打印指定寄存器
print $rsp
# 每步执行
stepi
# 检查寄存器或某个地址
x/4wd $rsp
用 ctl+c 可以退出,每次进入都要设置断点(保险起见),炸弹会用 sscanf 来读取字符串,了解清楚(感谢网友十六夜砕月指正)到底需要输入什么。
第一关
我们先来看看符号表 objdump -t bomb | less

就会发现这是天书,什么鬼!不过既然我们是要拆炸弹,不如就搜索一下 bomb,看看有没有什么线索。在 less 下输入 /bomb 然后不断回车,看到以下这些关键字:
bomb.cinitialize_bomb_solveexplode_bombbomb_idinitialize_bomb
看来这里唯一有用的就是这个 explode_bomb,顾名思义,估计是在拆弹失败的时候用来爆炸的,所以我们可以直接设个断点,暂停运行,不让它爆炸。
然后我们就可以反编译一下炸弹看看到底里面是怎么回事了:objdump -d bomb > bomb.txt

比方说我们大概可以看出来,这里就是 main 函数执行的地方了。往下找找就可以看到第一阶段的代码了,如下:
0000000000400fb0 <phase_1>:
400fb0: 48 83 ec 08 sub $0x8,%rsp
400fb4: be f0 27 40 00 mov $0x4027f0,%esi
400fb9: e8 72 04 00 00 callq 401430 <strings_not_equal>
400fbe: 85 c0 test %eax,%eax
400fc0: 74 05 je 400fc7 <phase_1+0x17>
400fc2: e8 3d 07 00 00 callq 401704 <explode_bomb>
400fc7: 48 83 c4 08 add $0x8,%rsp
400fcb: c3 retq
先来简单观察下这段程序在做什么,callq 的两行就是调用 strings_not_equal 和 explode_bomb 这两个函数的,而这里 %esi 对应的是第二个参数,第一个参数呢?当然就是我们拆弹时需要输入的字符串了。之后的 test 是用来判断函数的返回值 %eax 是否为 0, 如果为 0 则进行跳转,否则炸弹爆炸,所以我们实际上要做的,就是看看 $0x4027f0 这个地址里对应存放的是什么字符串,也就是拆炸弹的关键了。
先 gdb bomb,然后设置断点 break explode_bomb 和 break phase_1

接着运行 run,就会在断点处停下,这里会先让我们输入第一关的密码,随便输入一个抵达断点再说。

我们现在到断点了,可以利用 disas 来看看对应的汇编代码,其实就和我们之前反汇编出来的一致:

然后我们看看寄存器里的内容 info registers:

诶,不是说我们输入的字符串(也就是 abc)会存放在 eax 里面吗?怎么列表里没有?其实 eax 是 rax 的低位,我们可以直接利用 print $eax 把它打印出来,就会发现,是一个地址,我们再用 x/s $eax 就可以看到我们刚才输入的字符串了。

然后我们继续回到汇编语句,用 stepi 来逐步执行,就可以看到箭头的变化:

这里我们看到 mov 语句已经执行完成了,那么好,可以直接用 x $esi 来看看传进去的到底是什么内容了:

Bingo!这就是第一关的答案了,赶紧记下来吧!(注意每个人的都是不同的)
Why make trillions when we could make... billions?
然后输入 quit 退出 gdb,新建一个文本文件 touch sol.txt,方便以后输入答案。
第二关
这次因为我们有了输入,所以需要在进入 gdb,设置好断点后,设置命令参数

然后试着运行一下,在 phase_1 停住了,然后我们输入 continue,来看看答案到底对不对,如果正确,应该会在 phase_2 停住,如果错误,则会在 explode_bomb 停住。

然后就发现,第一关已经顺利完成了,然后挑战第二关。我们再随便输入一些内容,触发 phase_2 的断点。(这次输入 abcd,结果如下)

这一段代码比较长,我们还是来看看到底在做什么。从函数名可以得知,这一次要读入六个数字 read_six_numbers。
从 cmpl $0x1, (%rsp)(感谢网友十六夜砕月指正) 看出第一个数字一定是 1,然后跳转到 +24 的位置,然后把 1 移动到 %ebx 中,跳转到 +57 的位置,然后和 5 进行比较,因为 1 比 5 小,所以会跳转到 +31 的位置。
接着是 movslq 语句,这个语句是带符号地把第一个寄存器扩展并复制到第二个寄存器中,所以现在 %rdx 的值也是 1。lea 之后 %eax 等于 0,然后用 cltq 扩展到 64 位(也就是 %rax 等于 0),接着的语句相当于是 %eax = (%rsp) + 4 * %rax 即 %eax 等于 1。然后与自己相加等于乘以 2,现在 %eax 等于 2,然后等于是判断第二个参数((%rsp, %rdx, 4))和 2 是否相等,所以第二个数字是 2。
然后进行循环的累加并返回到 +31 的位置,继续循环。接着就是类似的操作了,最后分析可以得到每次增大一倍,答案就是 1 2 4 8 16 32。
第三关
第三关的代码很长,而且猛看上去,到处都可能触发炸弹。
0000000000401010 <phase_3>:
401010: 48 83 ec 18 sub $0x18,%rsp
401014: 4c 8d 44 24 0c lea 0xc(%rsp),%r8
401019: 48 8d 4c 24 07 lea 0x7(%rsp),%rcx
40101e: 48 8d 54 24 08 lea 0x8(%rsp),%rdx
401023: be 4e 28 40 00 mov $0x40284e,%esi
401028: b8 00 00 00 00 mov $0x0,%eax
40102d: e8 7e fc ff ff callq 400cb0 <__isoc99_sscanf@plt>
// %eax为sscanf的返回值,正确值为3
401032: 83 f8 02 cmp $0x2,%eax
401035: 7f 05 jg 40103c <phase_3+0x2c>
401037: e8 c8 06 00 00 callq 401704 <explode_bomb>
// 说明第一个数小于等于7
40103c: 83 7c 24 08 07 cmpl $0x7,0x8(%rsp)
401041: 0f 87 fc 00 00 00 ja 401143 <phase_3+0x133>
401047: 8b 44 24 08 mov 0x8(%rsp),%eax
// 跳转,0x402860为起始地址,%rax为偏移
40104b: ff 24 c5 60 28 40 00 jmpq *0x402860(,%rax,8)
401052: b8 6e 00 00 00 mov $0x6e,%eax
401057: 81 7c 24 0c df 00 00 cmpl $0xdf,0xc(%rsp)
40105e: 00
40105f: 0f 84 e8 00 00 00 je 40114d <phase_3+0x13d>
401065: e8 9a 06 00 00 callq 401704 <explode_bomb>
40106a: b8 6e 00 00 00 mov $0x6e,%eax
40106f: e9 d9 00 00 00 jmpq 40114d <phase_3+0x13d>
401074: b8 6a 00 00 00 mov $0x6a,%eax
401079: 81 7c 24 0c 01 03 00 cmpl $0x301,0xc(%rsp)
401080: 00
401081: 0f 84 c6 00 00 00 je 40114d <phase_3+0x13d>
401087: e8 78 06 00 00 callq 401704 <explode_bomb>
40108c: b8 6a 00 00 00 mov $0x6a,%eax
401091: e9 b7 00 00 00 jmpq 40114d <phase_3+0x13d>
401096: b8 63 00 00 00 mov $0x63,%eax
40109b: 81 7c 24 0c 1d 01 00 cmpl $0x11d,0xc(%rsp)
4010a2: 00
4010a3: 0f 84 a4 00 00 00 je 40114d <phase_3+0x13d>
4010a9: e8 56 06 00 00 callq 401704 <explode_bomb>
4010ae: b8 63 00 00 00 mov $0x63,%eax
4010b3: e9 95 00 00 00 jmpq 40114d <phase_3+0x13d>
4010b8: b8 70 00 00 00 mov $0x70,%eax
4010bd: 81 7c 24 0c 16 02 00 cmpl $0x216,0xc(%rsp)
4010c4: 00
4010c5: 0f 84 82 00 00 00 je 40114d <phase_3+0x13d>
4010cb: e8 34 06 00 00 callq 401704 <explode_bomb>
4010d0: b8 70 00 00 00 mov $0x70,%eax
4010d5: eb 76 jmp 40114d <phase_3+0x13d>
4010d7: b8 77 00 00 00 mov $0x77,%eax
4010dc: 81 7c 24 0c cd 00 00 cmpl $0xcd,0xc(%rsp)
4010e3: 00
4010e4: 74 67 je 40114d <phase_3+0x13d>
4010e6: e8 19 06 00 00 callq 401704 <explode_bomb>
4010eb: b8 77 00 00 00 mov $0x77,%eax
4010f0: eb 5b jmp 40114d <phase_3+0x13d>
4010f2: b8 70 00 00 00 mov $0x70,%eax
4010f7: 81 7c 24 0c 9a 00 00 cmpl $0x9a,0xc(%rsp)
4010fe: 00
4010ff: 74 4c je 40114d <phase_3+0x13d>
401101: e8 fe 05 00 00 callq 401704 <explode_bomb>
401106: b8 70 00 00 00 mov $0x70,%eax
40110b: eb 40 jmp 40114d <phase_3+0x13d>
40110d: b8 74 00 00 00 mov $0x74,%eax
401112: 81 7c 24 0c 13 01 00 cmpl $0x113,0xc(%rsp)
401119: 00
40111a: 74 31 je 40114d <phase_3+0x13d>
40111c: e8 e3 05 00 00 callq 401704 <explode_bomb>
401121: b8 74 00 00 00 mov $0x74,%eax
401126: eb 25 jmp 40114d <phase_3+0x13d>
401128: b8 79 00 00 00 mov $0x79,%eax
40112d: 81 7c 24 0c 3b 01 00 cmpl $0x13b,0xc(%rsp)
401134: 00
401135: 74 16 je 40114d <phase_3+0x13d>
401137: e8 c8 05 00 00 callq 401704 <explode_bomb>
40113c: b8 79 00 00 00 mov $0x79,%eax
401141: eb 0a jmp 40114d <phase_3+0x13d>
401143: e8 bc 05 00 00 callq 401704 <explode_bomb>
401148: b8 63 00 00 00 mov $0x63,%eax
40114d: 3a 44 24 07 cmp 0x7(%rsp),%al
401151: 74 05 je 401158 <phase_3+0x148>
401153: e8 ac 05 00 00 callq 401704 <explode_bomb>
401158: 48 83 c4 18 add $0x18,%rsp
40115c: c3 retq
可以看到一开始的 0x40284e 非常突兀,我们可以打印它的值:

就可以发现本题要输入的格式了,接着看到这么多分片的语句,非常类似于我们的 switch 语句。所以第一个数字是用来进行跳转的,如下图所示

比方说如果输入 0,那么就直接执行下一条 mov 语句,然后是比较第三个参数是否和 0xdf 相等,所以我们知道第三个参数是 223(如果第一个参数是 0)的话。如果一切正常,那么就会跳转到 +317 的位置,也就是:

我们只要搞清楚 %al 里面的值是什么就好(会和第二个参数进行比较),具体的值,其实就是前面 mov 语句读入的 0x6e(110),对应的字符是 n。
所以答案是 0 n 223,当然选择不同的分支就有不同的答案,其他分支的分析也都是类似的。运行一下,就可以发现这一关又过了

第四关
这一关要涉及到一个函数,我们先把 phase_4 的代码弄出来:

而对应 func4 的汇编代码是:
000000000040115d <func4>:
40115d: 41 54 push %r12
40115f: 55 push %rbp
401160: 53 push %rbx
401161: 89 fb mov %edi,%ebx
401163: 85 ff test %edi,%edi
401165: 7e 24 jle 40118b <func4+0x2e>
401167: 89 f5 mov %esi,%ebp
401169: 89 f0 mov %esi,%eax
40116b: 83 ff 01 cmp $0x1,%edi
40116e: 74 20 je 401190 <func4+0x33>
401170: 8d 7f ff lea -0x1(%rdi),%edi
401173: e8 e5 ff ff ff callq 40115d <func4>
401178: 44 8d 24 28 lea (%rax,%rbp,1),%r12d
40117c: 8d 7b fe lea -0x2(%rbx),%edi
40117f: 89 ee mov %ebp,%esi
401181: e8 d7 ff ff ff callq 40115d <func4>
401186: 44 01 e0 add %r12d,%eax
401189: eb 05 jmp 401190 <func4+0x33>
40118b: b8 00 00 00 00 mov $0x0,%eax
401190: 5b pop %rbx
401191: 5d pop %rbp
401192: 41 5c pop %r12
401194: c3 retq
和上一关类似,我们可以先从 0x402b56 这个地址获取到具体的输入格式:

可以看到这一关我们需要输入两个数字,在检查输入参数的个数是否为 2 个之后,先判断第一个参数是否小于等于 1,如果是就爆炸,所以第一个数字需要大于等于 1。然后判断第一个参数是否小于等于 4,这里需要满足这个条件,所以第一个参数可能的取值(目前来看)是 2, 3, 4。
然后是把函数调用的参数传到 %edi 中,也就是说传入的参数是 9 和 2(我们输入的第 2 参数),然后需要用我们之前输入的第 1 个参数来和函数的返回值比较,于是我们需要弄明白这个递归函数在做什么。
一开始的 jle 跳转相当于是递归的退出条件,可以看到只有当 %edi 为 0 时,才会退出(现在 %edi 的值是 9),接着把我们输入的第一个参数存到 %ebp 和 %eax 中。之后又是跳转,因为 %edi 的值不等于 1,所以会继续执行。lea 那一句的左右就是让 %edi 的值减一(变成 8),然后开始递归调用。(可能需要 delete [断点编号] 方便调试)
递归部分有两个参数,第一个参数是程序中给出的 9,第二个参数是我们之前输入的参数中的第二个(也就是说可以是 2/3/4),程序的返回值会和我们输入的第一个参数进行比较。整个递归函数可以转换成如下的语句:
int f(x, y){
if (x == 0) return 0;
if (x == 1) return y;
return f(x-1,y) + f(x-2,y) + y;
}
所以其中一个答案就是 264 3,测试一下,发现顺利通过!

第五关
根据代码来判断,我们要输入的是一个长度为 6 的字符串(+9 那一句)。然后会经过一系列复杂的跳转,匹配的话就正常返回。

代码不算很长,通过第一个验证(长度位 6)之后,会把 %edx 和 %eax 都赋值为 0,然后用 %eax 和 5 进行比较,相当于是循环的计数,于是我们跳转回 +31 句。这里有两个新指令 movslq(扩展到64位,但是不填充符号位) 和 movzbl(扩展到 32 位,填充 0),然后我们取得到的值的最后四位。
接着出现了一个地址,我们来看看地址里面的内容是什么

可以看到是一个数组,而后面的代码等于是根据我们的输入在这个数组中选取数字进行累加,选取的规则是用输入字符的最低四位,最后的结果要和 0x34 进行比较,也就是需要六个数字加起来是 52。
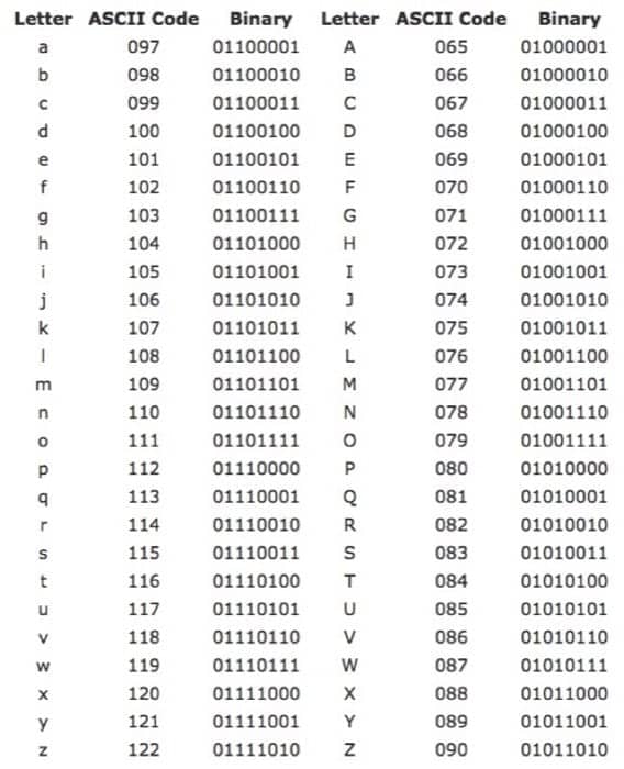
那么这六个数字可以怎么凑到 52 呢?我随便凑了一下,16+16+10+6+2+2=52。对应的偏移量是 5, 5, 1, 2, 0, 0,然后我们找一个 ASCII 表:

按照最低位的取值来选符合条件的字母,我这里挑了 eeabpp,然后测试一下,再次通关!

第六关
最后一关!代码非常长:

一开始读取六个数字进来,后面一顿疯狂跳转,到底在做什么呢?我用笨办法,一句一句先翻译出来,注意跳转的时候最好标记一下
Dump of assembler code for function phase_6:
=> 0x40122c <+0>: push %r12
0x40122e <+2>: push %rbp
0x40122f <+3>: push %rbx
0x401230 <+4>: sub $0x50,%rsp
0x401234 <+8>: mov %rsp,%rsi
0x401237 <+11>: callq 0x40173a <read_six_numbers>
0x40123c <+16>: mov $0x0,%ebp # ebp = 0
0x401241 <+21>: jmp 0x40127d <phase_6+81>
0x401243 <+23>: movslq %ebp,%rax
0x401246 <+26>: mov (%rsp,%rax,4),%eax # 取以 rsp 开头第 rax 个数,放到 eax 中
0x401249 <+29>: sub $0x1,%eax # eax -= 1
0x40124c <+32>: cmp $0x5,%eax
0x40124f <+35>: jbe 0x401256 <phase_6+42> # 小于等于 5 则跳转
0x401251 <+37>: callq 0x401704 <explode_bomb>
0x401256 <+42>: lea 0x1(%rbp),%r12d # r12d(地址) = rbp 存放的地址 + 0x1
0x40125a <+46>: mov %r12d,%ebx
0x40125d <+49>: movslq %ebp,%rbp
0x401260 <+52>: jmp 0x401275 <phase_6+73>
0x401262 <+54>: movslq %ebx,%rax
0x401265 <+57>: mov (%rsp,%rax,4),%eax # 取以 rsp 开头的第 rax 个数,放到 eax 中
0x401268 <+60>: cmp %eax,(%rsp,%rbp,4)
0x40126b <+63>: jne 0x401272 <phase_6+70> # 不能相等
0x40126d <+65>: callq 0x401704 <explode_bomb>
0x401272 <+70>: add $0x1,%ebx # ebx += 1
0x401275 <+73>: cmp $0x5,%ebx # ebx 与 5 比较
0x401278 <+76>: jle 0x401262 <phase_6+54> # 小于的时候跳转
0x40127a <+78>: mov %r12d,%ebp # ebp = r12d
0x40127d <+81>: cmp $0x5,%ebp # ebp 与 5 比较
0x401280 <+84>: jle 0x401243 <phase_6+23> # 小于的时候跳转
# 前面相当于判断输入的六个数是否一样,并且要小于 6
0x401282 <+86>: mov $0x0,%esi # esi = 0
0x401287 <+91>: jmp 0x4012af <phase_6+131>
0x401289 <+93>: mov 0x8(%rdx),%rdx # rdx(地址) = rdx 存着的地址 + 0x8
0x40128d <+97>: add $0x1,%eax # eax += 1
0x401290 <+100>: jmp 0x40129f <phase_6+115>
0x401292 <+102>: mov $0x1,%eax # eax = 1
0x401297 <+107>: mov $0x604300,%edx # edx = 0x604300
0x40129c <+112>: movslq %esi,%rcx # rcx = esi
0x40129f <+115>: cmp %eax,(%rsp,%rcx,4) # 以 rsp 开头的第 rcx 个数与 eax 比较
0x4012a2 <+118>: jg 0x401289 <phase_6+93> # 大于的时候跳转
0x4012a4 <+120>: movslq %esi,%rax # rax = esi
0x4012a7 <+123>: mov %rdx,0x20(%rsp,%rax,8) # 把 rdx 存着的地址放到某个位置
0x4012ac <+128>: add $0x1,%esi # esi += 1
0x4012af <+131>: cmp $0x5,%esi # esi 与 5 比较
0x4012b2 <+134>: jle 0x401292 <phase_6+102> # 小于的时候跳转
0x4012b4 <+136>: mov 0x20(%rsp),%rbx # rbx = rsp 存着的地址 + 0x20 的新地址
0x4012b9 <+141>: mov %rbx,%rcx # rcx = rbx
0x4012bc <+144>: mov $0x1,%eax # eax = 1
0x4012c1 <+149>: jmp 0x4012d5 <phase_6+169>
0x4012c3 <+151>: movslq %eax,%rdx # rdx = eax
0x4012c6 <+154>: mov 0x20(%rsp,%rdx,8),%rdx # rdx = 以 rsp 开头加上 8 个 rdx 偏移再加 0x20
0x4012cb <+159>: mov %rdx,0x8(%rcx) # rcx 存着的地址 + 0x8 = rdx 存着的地址
0x4012cf <+163>: add $0x1,%eax # eax += 1
0x4012d2 <+166>: mov %rdx,%rcx # rcx = rdx
0x4012d5 <+169>: cmp $0x5,%eax # eax 与 5 比较
0x4012d8 <+172>: jle 0x4012c3 <phase_6+151> # 小于的时候跳转
0x4012da <+174>: movq $0x0,0x8(%rcx) # rcx 存着的地址 + 0x8 = 0
0x4012e2 <+182>: mov $0x0,%ebp # ebp = 0
0x4012e7 <+187>: jmp 0x4012ff <phase_6+211>
0x4012e9 <+189>: mov 0x8(%rbx),%rax # rax(地址) = rbx 存着的地址 + 0x8
0x4012ed <+193>: mov (%rax),%eax # eax = rax 地址中的值
0x4012ef <+195>: cmp %eax,(%rbx) # rbx 地址中的值与 eax 比较
0x4012f1 <+197>: jge 0x4012f8 <phase_6+204> # 大于等于的时候跳转
0x4012f3 <+199>: callq 0x401704 <explode_bomb>
0x4012f8 <+204>: mov 0x8(%rbx),%rbx # rbx(地址) = rbx 存着的地址 + 0x8
0x4012fc <+208>: add $0x1,%ebp # ebp += 1
# 以上部分等于是用我们输入的顺序去验证内存中数据的顺序是否正确
0x4012ff <+211>: cmp $0x4,%ebp # ebp 与 4 比较
0x401302 <+214>: jle 0x4012e9 <phase_6+189> # 小于等于的时候跳转
0x401304 <+216>: add $0x50,%rsp
0x401308 <+220>: pop %rbx
0x401309 <+221>: pop %rbp
0x40130a <+222>: pop %r12
0x40130c <+224>: retq
End of assembler dump.
这里发现一个奇怪的地址 0x604300,我们来看看里面的内容是什么:

发现其实是一个结构体,类似于
struct {
int value;
int order;
node* next;
} node;
我们要做的,就是输入正确的 order(从大到小),这样程序在验证顺序的时候,就不会出问题,打印出来节点里的内容,人工排个序,就可以发现正确答案是 6 2 1 5 4 3。(感谢网友 那影丶这光 的更正)

拆弹任务成功!
秘密关卡
接着往反编译出来的源代码下看,发现还有一个隐藏关!但是之前过程中并没有任何需要给隐藏关输入的地方,那么就得先看看怎么进入隐藏关。在源代码中搜索 secret_phase,然后就可以发现,在 phase_defused 中会对其进行调用,那么我们就先来设个断点,看看能够怎么进去。

phase_defused 函数内容如下,我们在调用 secret_phase 的指令加个断点(break *0x40191d),然后看看到底需要输入什么。
然后发现上面把两个参数放到了 %edi 中,我们来看看里面放了什么。结果发现是挑衅

继续往上(感谢网友十六夜砕月指正)找,在 0x402ba0 这个地址里,可以发现输入格式

但是并没有任何印象要输入这个,继续往上翻,发现又有一个地址:

唯一有类似输入格式的就是第四题,所以我们试试看在第四题的后面加上 213rocks!。果然,就可以进入到秘密关卡了。

这一段代码一开始就调用 read_line,然后会把内容用 strtol 转成十进制整数(感谢网友十六夜砕月指正),然后和 0x3e8(也就是 1000)进行比较,如果小于等于的话就执行 fun7,然后返回值需要等于 5,于是问题就变成,给定一个值,让 fun7 的输出为 5。我们就先来看看 fun7 具体做了什么。

一眼就能看出这是一个递归函数了,然后我们观察一下传进来作为第一个参数的地址 0x604120

虽然比较乱,但是可以看出是一棵树,有不同的层级。画出来的话大概是
36
/ \
8 50
/ \ / \
/ \ / \
6 22 45 107
/ \ / \ / \ / \
1 7 20 35 40 47 99 1001
递归实际上的逻辑类似于下面代码:
struct treeNode
{
int data;
struct treeNode* leftChild;
struct treeNode* rightChild;
};
int fun7(struct treeNode* p, int v)
{
if (p == NULL)
return -1;
else if (v < p->data)
return 2 * fun7(p->leftChild, v);
else if (v == p->data)
return 0;
else
return 2 * fun7(p->rightChild, v) + 1;
}
为了要凑成 5,我们需要的值是 47(根据递归规律来找到合适的数字即可)

通关!撒花!
总结
相信通过这次『拆弹』的历练,一定对数据在内存中以及汇编的表示方法有了更加深刻的认识,做得过程可能有时候会摸不着头脑,这个时候一定要冷静,相信自己。